서론
본 자료는 전산유체역학(CFD) 분야에서 중요하게 다루는 y+에 대한 글입니다. 연구를 위해 전산유체역학 관련 서적을 공부하거나, 유동해석 상용 프로그램을 사용하다 보면 우리는 종종 “y+”,“벽 함수(wall function)”, “벽면 처리 기법(wall treatment)”과 같은 단어를 마주하게 됩니다. 이를 이해하기 위해 인터넷 검색을 해 보면 자료가 많긴 하지만, 대부분 영어이고, 그 내용도 비전공자입장에서는 이해하기 어려울 수 있습니다.
대부분의 상용 프로그램에서는 사용자가 손 댈 필요 없이 기본 설정(default)으로도 대부분의 유동 양상에 대하여 높은 신뢰도를 만족시키도록 세팅되어 있습니다. 따라서 이해하지 못하더라도 유동해석이 불가능한 건 아닙니다. 하지만 만약 그러한 세팅들을 보고 무슨 의미인지 모른 채로 진행하면 마음 한 켠에 약간의 찝찝함이 남게 되고, 수동적인 모델링을 하게 될 가능성이 큽니다. 보다 자신감 있고 능동적인 모델링을 위해서는 어느 정도의 이론적 이해가 큰 도움이 될 수 있습니다.
이번 글을 통해서 전공 여부와 상관없이 유동해석을 하고자 하는 모든 분들께서 한 단계 더 깊은 이론적 이해를 얻고, 이를 바탕으로 우리나라의 CFD 저력이 한 단계 높아지기를 희망합니다. 그리고 대체 y+가 무엇인지 어렴풋이 알 듯 말 듯한 느낌이 아니라, 명확한 이해를 원하셨던 분들에게 갈증이 해소될 수 있는 컨텐츠가 되기를 바랍니다.
[그림 0] 왠지 멋져 보이는 비행기 그림
(멋진 그림이다. 본문 내용과 관련이 아주 없는 건 아니지만, 그렇다고 무언가 직접적인 설명을 위한 그림은 아니다. 하지만 왠지 보고 있으면 y+에 대해서 잘 이해할 수 있을 것 같은 기분이 든다.)
y+가 무엇인가요?
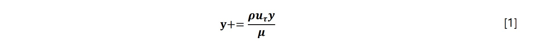
한 마디로 정의하면, “벽면으로부터의 거리에 따른 유체 속도를 계산하기 위해 사용되는 무차원수”입니다. 수식은 다음과 같습니다.

여기서 각 변수는
y + : 벽면으로부터의 무차원 거리
ρ : 유체 밀도
𝑢𝜏 : 벽면에서의 유체 속도(wall friction velocity)
y : 벽면으로부터의 거리
μ : 유체 점도
입니다.
y+는 “와이 플러스”라고 읽고, 𝑢𝜏는 “유 타우”, μ 는 “뮤”로 읽습니다.
벽면에서의 유체 속도 𝑢𝜏는 다시 아래와 같이 나타낼 수 있습니다.

여기서
𝜏𝑤 : 벽면 전단 응력(wall shear stress)
입니다.
벽면 전단 응력 𝜏𝑤 는 다시 아래와 같이 나타낼 수 있습니다.

여기서 주의할 점은, 식 [1]~[3]을 봤을 때, y+를 구하기 위해서 𝑢𝜏를 구하고, 𝑢𝜏를 구하기 위해서 𝜏𝑤를 구하는 것으로 오해할 수 있습니다. 컴퓨터가 계산하는 방식은 그 순서가 수치해석 프로그램마다의 옵션에 따라 다소 차이가 발생할 수 있습니다. 어느 부분이 사용자가 입력해야 하는 부분이고, 어느 부분이 컴퓨터가 계산하는지, 어떻게 계산하는지 프로세스는 잠시 후에 midas NFX를 예시로 설명 드리겠습니다.
그 밖에 CFD 분야의 무차원 수는 어떤 것들이 있고, 왜 무차원화 된 수를 사용하는지 알고 싶다면 별도로 작성한 아티클이 있으니 참고하세요.
[이전 아티클 보러가기: CFD에서 자주 사용되는 6가지 무차원 수]
왜 y+가 필요한가요?
짧게 표현하자면, 벽과 아주 가까운 영역에서의 속도 변화를 일반적인 수치해석 기법으로는 계산하기 어렵기 때문에 함수로 대체하기 위해서 입니다. 벽과 가까운 영역은 아주 많은 수의 요소를 사용하는 대신 벽 함수(wall function)로 대체하는데, 그 함수 그래프의 세로축은 무차원 속도 u+이고, 가로축은 무차원 거리 y+이기 때문입니다. 그럼 이제 차근차근 상세한 이유를 알아보도록 하겠습니다.
경계층과 점성저층
평판에 바람이 부는 모습을 아래 그림처럼 나타낼 수 있습니다. 바람의 크기나 방향을 화살표로 표현했습니다. 이런 그림을 흔히 ‘단면 속도 프로파일’ 이라고 말합니다.

[그림 1] 평판 외부 유동에서의 경계층 발달
단면 속도 프로파일을 관찰해 보면, 벽면과 가까울수록 유속이 작고, 멀어질수록 점점 빨라지다가, 일정 거리 이상부터는 벽면으로부터의 거리에 관계없이 일정한 속도 분포를 보입니다. 벽면으로부터의 거리에 따른 유속 차이가 있는 구간(점성의 영향을 받는 영역)을 경계층이라 합니다. 그리고 경계층은 유동 진행 방향에 따라 점점 두꺼워집니다.
이러한 유동 프로파일이 형성되는 이유는 유체의 점성 때문입니다. 벽면과의 거리가 0인, 완전히 붙어 있는 유체 분자는 벽면과 같은 속도로 이동하는데, 만약 벽면이 이동하지 않는다면 유체 분자의 속도도 0입니다. 점성에 의해서, 멈춰 있는 유체와 인접한 유체 분자들은 상대적으로 속도가 느리고, 거리가 멀수록 free stream velocity(𝑢∞ )에 가까워집니다. 따라서 거리에 따른 속도 구배(gradient)가 형성됩니다.
(참고) 벽면으로부터의 거리에 상관없이 일정한 유속을 의미하는 Free stream velocity는 [그림 1] 에서 u∞를 의미합니다. 한글로는 ‘자유 흐름 속도’라 말할 수 있으나, 번역에 따라 표현이 다르기 도 합니다. 또 다르게 말하면 경계층 밖에서의 유속을 의미하며, 경계층 바깥은 점성보다 관성이 지배적인 영역이기 때문에 벽면으로부터의 거리에 따른 속도 차이가 거의 없습니다. 경계층의 두 께는 Free stream velocity의 99%에 해당되는 속도 지점까지의 높이로 정의합니다.
😥 미리 보기는 여기까지!
내용을 이어서 보고 싶다면,
아래 정보를 입력해 주세요.
