1. 반도체 공정개발에서 분자동역학 시뮬레이션의 중요성
지난 회차에서 분자동역학 시뮬레이션 솔버가 기본적으로 어떻게 구성되어 있는지 살펴보았습니다.
분자동역학 시뮬레이션은 재료를 구성하는 원자들의 질량과 결합 관계, 그리고 위치에 따라 그 위치에너지와 운동에너지를 계산하여 재료의 상태 방정식을 수치적으로 이해하는 방법론입니다.
오늘날의 전산자원 기준으로 수십 나노미터 크기의 재료시스템을 구성하는 원자들의 거동과 그 때의 재료 특성을 이해하는 데에 가장 적합하고, 여기에 적절한 앙상블 환경을 통해 온도변화, 압력변화, 기계적 인장/압축 등 다양한 실험적 공정변수를 추가적으로 제공하는 것 또한 가능합니다.
이러한 점에서 분자동역학 시뮬레이션 솔버는 오늘날 전세계적으로 가장 큰 산업 중 하나인 반도체 공정설계 분야에서 그 활용 가치가 매우 높습니다.
전산자원의 급격한 증가로 시뮬레이션으로부터 구현할 수 있는 시스템의 크기가 커져가는 것과는 반대로, 반도체의 집적도는 수 나노미터 대역에서 계속해서 그 선폭이 줄어드는 방향으로 기술개발이 이루어지고 있고, 이는 곧 반도체 시스템을 구성하는 디바이스를 원자 수준에서 실측치로 모델링하는 것이 가능하다는 의미이기도 합니다.
물론, 고전 분자동역학 시뮬레이션은 고전역학에 입각한 기계시스템 구성식에 그 그간을 두고 있기 때문에, 이러한 '디지털 트윈'이 성사된다고 해도 여전히 한계점은 남아있습니다.
대표적으로 공정환경에 따라 민감하게 변화하는 원자 간 화학반응 경로나 부산물 생성 경로 등에 대해서는 여전히 실험적 실증이 불가능한 경우가 많고, 관련 화학반응 에너지의 정량값 또한 예측을 위해 많은 가정들을 필요로 합니다.
나아가 플라즈마 챔버 환경에서의 이온 거동의 특수성, 전자수준의 이슈가 거시적 시스템 특성에 미치는 영향 등을 함께 고려하기 위해서는 분자동역학 모델을 벗어난 수준의 다른 구성식과 멀티 스케일링을 할 필요가 있습니다.
위와 같은 한계에도 불구하고, 나노미터 급 도메인을 갖는 시뮬레이션 박스 속에서 재료의 동적 거동을 시작화하고 관련 운동학적/구조적 특성을 정량으로 도출한다는 점에서 분자동역학 시뮬레이션은 여전히 매우 매력적입니다.
이번 회차에서는 반도체 공정설계에 있어 분자동역학 솔버가 핵심적으로 기여한 최근의 논문 사례들을 리뷰하고자 합니다.
이로부터 반도체 공정을 연구함에 있어서 분자스케일 시뮬레이션이 어떠한 역할을 맡았는지 되짚어 볼 것입니다. 특히 각 공정별로 다른 도메인의 시뮬레이션 솔버나 실험적으로 발견하기 어려운 핵심 발견사항이 무엇이었는지를 중점적으로 살펴보도록 하겠습니다.
2. 노광 공정의 해석 연구사례 분석
극자외선 노광공정(Extreme Ultra-Violet lithography, 이하 EUV)이 10여 년 전부터 본격적으로 반도체 양산에 도입됨에 따라, 해당 공정에 관여하는 포토레지스트의 소재 설계와 그 광화학 반응 경로를 이해하는 연구 또한 큰 주목을 받고 있습니다.
기존의 ArF 및 KrF 스캐너와 전혀 다른 파장과 에너지 밀도를 갖는 EUV 공정은 그 파장 길이가 혁신적으로 짧다는 장점과 광량을 충분하게 확보하기 어렵다는 단점을 동시에 갖고 있습니다.
따라서 초기 빛에 의한 포토레지스트 소재에서의 이차전자 방출 및 그에 따른 노광 영역의 solubility 변화를 이론적 관점에서 엄밀하게 이해할 필요가 생겼습니다.
<그림1>에 제시한 M.Kim 등의 연구에서는 이러한 포토레지스트의 화학적 조성과 그 모폴로지에 따라 노광 영역에서의 산 반응이 어떻게 전개되는지를 순수 시뮬레이션 관점에서 계산했습니다.
전원자 분자동역학 시뮬레이션 모델을 통해 수 천 g/mol 수준의 포토레지스트 사슬들을 고려하고, 여기에 산반응 개시제 (PAG, polyacid generator)가 혼입되어 있는 미시구조 유닛 셀을 구성했습니다.
화학반응이 일어나는 결합의 위치는 미시구조 내의 PAG 분자들의 위치와 분포가 결정합니다. 또한 결합이 끊어져 반응을 개시하는 PAG 분자들은 이웃한 포토레지스트 사슬과의 상호작용력을 약화시켜 그 solubility를 변화시키는데, 이러한 구성요소들이 간의 상호작용력 (Eint)에 대한 정량화는 아래의 수식을 통해 이루어졌습니다.

여기서 Eall은 전체 시스템의 포텐셜 에너지, EtB0CSt와 Etriflate는 각각 포토레지스트에 내제된 산반응 억제인자 (tBOCSt)와 노광이 일어난 영역 내의 PAG의 anion 그룹 (triflate)이 독립적으로 차지하는 포텐셜 에너지의 크기입니다.
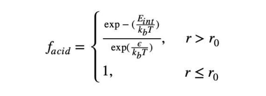
주어진 노광 환경에 대해 PAG의 결합이 실질적으로 끊어지며 산반응기 개시될 확률(facid)에 대해서는 아래의 수식으로 계산되었습니다.

여기서 r0는 triflate 영역을 중심으로 한 반경 상수로, 해당 값 이내에 존재하는 모든 영역에서는 100%의 산반응을, 그렇지 않은 영역에 대해서는 확률적인 산반응이 일어나도록 시뮬레이션이 진행되었습니다.
각 사슬마다 저마다의 solubility 변화를 겪고 나면, 일정 수준 이상의 데미지를 입은 사슬들에 대해서는 이후의 현상 공정에서 제거될 것으로 가정하였습니다.
이렇게 현상되고 남은 영역의 측벽이 형성하는 표면 거칠기가 포토레지스트 설계에 있어 중요한 관리인자인 LER이 되며, 본 시뮬레이션에서는 해당 값을 아래의 수식으로부터 계산하였습니다.

여기서 x는 표면에 노출된 원자들이 갖는 측벽 방향으로의 평균 위치, N은 거칠기 계산이 수행된 도메인의 단위 격자의 총 개수입니다.
주어진 계산 방법을 통해 PAG의 함량에 따른 전체 시스템의 LER 변화 민감도를 도출할 수 있습니다.
시뮬레이션 결과는 PAG 함량이 지나치게 적으면 그 위치분포에 의한 불확실성이 LER을 높이는 방향으로 작용하며, 반대로 PAG 함량이 지나치게 높으면 의도치 않은 영역에서의 산반응이 촉발되어 역시 LER을 높이게 됨을 보여줍니다.
즉, 최소화된 LER의 달성을 위해서는 주어진 포토레지스트와 그 반응 종류에 따른 적정 수준의 PAG를 함입하는 것이 중요합니다.

3. 증착 공정의 해석 연구사례 분석
기판 위의 원자 혹은 분자가 입자의 형태로 균일하게 쌓여 코팅이 이루어지는 공정인 증착공정에서는 증착 대상이 되는 입자의 크기, 입사 방향, 그리고 표면에 흡착된 이후의 결합력 등이 중요합니다.
😥 미리 보기는 여기까지!
내용을 이어서 보고 싶다면,
아래 정보를 입력해 주세요.