1. Abstract
복합열전달(Conjugate heat transfer)은 고체와 유체를 모두 포함하는 시스템의 열전달 문제를 일컫는 용어입니다. 복합열전달을 해석하기 위해서는 균일한 각 매질내에서의 열전달도 계산해야 하겠지만, 특히 매질 사이 경계면에서의 열전달을 정확히 계산하는 것이 중요합니다.
본 테크노트에서는 복합열전달 해석에 도입된 이론들을 소개하고 그것들을 종합적으로 적용시킨 예제를 제시합니다. 유리판 냉각 시스템 해석을 통해 복합열전달해석을 위한 상세 과정들을 살펴보겠습니다.
2. Technology 배경
2-1. 균일 물질에서의 열전달
열전달 지배방정식은 외부에서 공급되는 에너지, 그리고 대류와 전도에 의해 유출되는 에너지의 양이 일정하다는 에너지보존의 법칙으로부터 유도할 수 있습니다. 전도는 물질의 분자 간 상호 작용에 의해 열이 확산되는 현상으로 온도 구배(temperature gradient)에 비례하며, 이를 “Fourier’s Law”라 합니다. 즉, 열전도에 의해 전달되는 열유속(heat flux)은 온도 구배에 비례하며 미소영역에서의 에너지 변화량은 다음 식과 같습니다.
⋯ ⋯ ⋯ ⋯ ⋯ ⋯ ①
𝑘 ∶ 열전도율 (thermal conductivity)
T ∶ 온도
대류는 유체의 운동에 의해 에너지가 전달되는 현상으로, 강제대류(forced convection)와 자연대류(natural convection)로 구분할 수 있습니다. 강제대류는 유체의 운동이 외부 운동량에 의해 발생되는 경우이며, 자연대류에서는 온도에 의한 밀도차로 유동이 발생합니다. 대류에 의한 미소영역에서의 에너지 변화량은 다음 식과 같습니다.
⋯ ⋯ ⋯ ⋯ ⋯ ⋯ ②
𝜌 ∶ 밀도
𝑢𝑖∶ 𝑖 방향 속도
𝑒 ∶ 유체의 전에너지 (total energy)
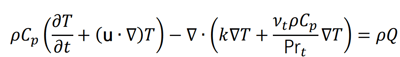
위 식에서 전도와 대류 및 입력되는 열에너지의 보존 법칙으로부터 아래와 같은 일반적인 열전달 지배방정식을 구할 수 있습니다. 아래 식에서 유체의 점성에 의한 에너지 소산항은 생략하였으며, 속도 𝐮 가 0 인 경우 고체에 대한 열전달 방정식이 됩니다.
⋯ ⋯ ⋯ ⋯ ⋯ ⋯ ③
𝐶𝑣 ∶ 정적비열 (specific heat at constant volume)
Q ∶ 발열 (heat source)
압축성 효과가 작은 저속유동에서는 압력에 의한 에너지 발생과 손실을 무시할 수 있기 때문에 정적비열 𝐶𝑣 를 정압비열(specific heat at constant pressure) 𝐶𝑝 로 대체하는 것이 일반적입니다. 속도 u 계산 시 난류모델을 포함한 경우에는 난류에 의한 확산 활성화 현상을 고려합니다.

⋯ ⋯ ⋯ ⋯ ⋯ ⋯ ④
𝜈𝑡∶ 난류 동점성계수 (turbulent kinematic viscosity)
Pr𝑡: 난류 Prandtl 수 (turbulent Prandtl number)
2-2. 물질 간 열전달
2-2-1. 고체-고체 열전달: 접촉열저항
미시적인 관점에서 기계가공된 모든 표면은 이상적인 평면과 달리 굴곡이 있습니다. 이러한 불완전은 표면 거칠기(roughness)와 표면 파형(waviness)로 나타냅니다. 표면거칠기는 미시적 규모의 요철이며 절삭도구의 형상, 공정, 금형에 의해 생깁니다. 표면파형은 거시적 규모의 지오메트리이며 열처리 또는 절삭도구의 진동으로 인해 생깁니다.
이러한 표면의 기하학적 불완전이 있기 때문에 고체인 두 물체가 접촉하면 극히 일부만 (미시적인 요철의 마루 부분끼리만) 서로 닿습니다. 두 물체 사이의 압력이 증가하면 요철에 다소 변형이 일어나면서 실제 접촉면이 늘어납니다. 물리적인 유효 접촉이 없는 부분은 공간을 채운 기체나 써멀 그리스, 복사 등에 의해 열전달이 일어납니다.
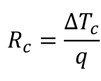
거시적인 열저항 효과는 접촉하는 두 물체의 온도 분포를 이용해 측정할 수 있습니다. 접촉열저항 𝑅𝑐은 온도 강하 ∆𝑇𝑐와 통과 열유속의 비로 나타낼 수 있습니다.

⋯ ⋯ ⋯ ⋯ ⋯ ⋯ ⑤
𝑞 ∶ 접촉면 통과 열유속
접촉열전도도 개념은 접촉열저항과 함께 빈번히 쓰이는 개념입니다.

⋯ ⋯ ⋯ ⋯ ⋯ ⋯ ⑥
접촉열전도도는 실제접촉면에서 물체의 열전도에 의한 열전달, 공극에서 일어나는 복사에 의한 열전달, 공극을 메우는 기체에 의한 열전달에 의해 결정됩니다. 하지만 일반적인 경우 실제 접촉면의 고체 열전도에 의한 열전달이 지배적입니다. 흔히
😥 미리 보기는 여기까지!
내용을 이어서 보고 싶다면,
아래 정보를 입력해 주세요.