CAE 기반의 위상 최적 설계 기법은 현재 기계 구조물의 강성, 응력, 진동 및 주파수 응답에 대한 설계를 포함하여 전자기, 광학, 음향 등 광범위한 공학 응용 분야에 적용되고 있다. 또한, 2개 이상의 물리 현상이 복합된 트랜스듀서 등의 다물리 멀티 피직스 시스템 설계를 위한 위상 최적 설계 기법에 관한 연구 역시 진행되어 왔다. 그런데, 이러한 다물리 멀티 피직스 시스템은 전자기력 기반의 구동기, 유체/구조물 상호 작용 (FSI: Fluid-Structure Interaction) 등 어느 한쪽의 물리 응답 거동이 다른 물리 현상에 대한 하중의 형식으로 연성 되는 경우와 압전 (piezoelectric) 및 자기 변형 (magneto elastic) 등 물리 현상이 구성 방정식에서 직접 상호 연성 되는 경우로 구분할 수 있다.
목차
1. 서론
2. 압전 유한 요소 및 위상 최적 설계
2.1 유한 요소 구성
2.2 위상 최적 형식화
2.3 고유 조건(IC : Intrinsic Condition)
2.4 목적 함수 종속 조건(ODC : Objective-Dependent Conditon)
3. 예제를 통한 IC, ODC의 효과
3.1 회전 압전 엑츄에이터
3.2 압전 에너지 수확 장치
4. 결론
1. 서론
본 칼럼에서는 후자의 경우로써 압전 구조물에 대한 위상 최적 설계 기법에 관해 기술하고자 한다. 이러한 멀티 피직스 시스템의 경우에는 단일 물리계 구조물의 경우와는 달리 물리 현상을 지배하는 구성 방정식에 역학, 전기 및 전기-역학 연성을 나타내는 3개의 계수들이 존재하여, 유한 요소 행렬에서도 이들 각각에 대응하는 물성치 행렬이 나타난다. 따라서, 기존의 단일 물리계에 자주 사용되어 왔던 SIMP (Solid Isotropic Material with Penalization) 방법을 그대로 적용하기 위해서 3개의 서로 다른 물성치 행렬에 대한 보간 (interpolation)이 필요하고 각각에 대한 벌칙 지수 (penalty exponent)를 선택하는 문제는 매우 중요하므로 본 칼럼에서는 이를 다루고자 한다.
2. 압전 유한 요소 및 위상 최적 형식화
2.1 유한 요소 구성
압전 물질에 대한 선형 구성 방정식 (e-form, d-form, g-form, h-form) 중 변위 기반 유한 요소를 구성하기 위한 응력 전하 형식 (stress-charge or e-form)의 구성 방정식은 다음과 같이 표현된다.

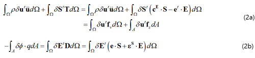
위 식에서 T, S, D, E 는 각각 응력, 변형률, 전속 밀도 및 전기장 세기를 나타내며, 물성치 계수 행렬 CE, εS 및 e는 각각 일정 전계 하에서의 탄성, 일정 변형률 하에서의 유전율 및 압전 연성을 나타낸다. 이를 이용한 전기-역학 연성 방정식의 변분식은 다음과 같다.

식 (2)에서 u 와 φ 는 각각 변위 및 전압을 나타내며, q는 전극에 존재하는 전하의 면적 밀도를 나타낸다. 변위 u 및 전압 φ 를 각각 형상 함수 Nu, NΦ 및 요소 절점에서의 값 ûe와 φe 을 이용하여 보간하면, 변형률 S 와 전기장 세기 E 는 다음과 같이 표현된다.

위 식을 식 (2)에 대입한 후 전역 유한 요소 방정식을 구하면 다음과 같다.

식 (4)에서는 응답 변수 표현을 간단히 하기 위해 절점에서의 변위 및 전압을 각각 다시 u, φ로 나타내었으며, 부분 행렬들은 아래와 같다.

2.2 위상 최적 형식화
식 (5)를 통해서 알 수 있듯이 압전 구조물의 위상 최적 설계를 위해서는 1개의 질량 행렬 및 3개의 강성 부분 행렬에 포함된 각각의 물성치 계수들이 하나의 유한 요소에 할당되는 위상 최적 설계 변수 Xe를 이용하여 다음과 같이 보간된다.

위 식에서 하첨자 0은  Xe=1일 때의 물성치를 나타내기 위해 사용되었다. 밀도에 대한 보간으로써 식 (6a)를 이용하면 위상 최적 설계 변수 값이 낮은 값 (Xe<δ≈0.1)일 때 발생하는 국소 모드를 제거하기 위해 CE는 δn-1xecE0 와 같이 보간된다. 
위와 같이 압전 구조물의 위상 최적 설계를 위해서는 3개의 벌칙 지수에 대한 선택 기준이 필요하다. 만약, 이 값들을 임의로 선택한다면 다음의 수치 예제에서 볼 수 있듯이 수렴성이 불안정해지고 의미 있는 위상 최적 결과를 얻을 수 없게 된다. 따라서, 이 들 상호 간에 만족해야 하는 조건이 필요하다. 첫 번째는 고유 (intrinsic) 조건으로써 사용된 압전 물질 및 전기-역학 에너지 간의 변환 효율이 상호 비례해야 한다는 가정에서 유도된다. 두 번째는 목적 함수 종속 (objective-dependent) 조건으로써, 센서 및 구동기 등 설계 목적에 따라 유도된다. 또한, 이는 중간 밀도의 생성을 억제하고 물질의 0-1 분포가 생성되도록 하는 역할을 한다.
2.3 고유 조건 (IC : Intrinsic Condition)
압전 구성 방정식 및 전기-역학 결합 계수 (EMCC: Electro Mechanical Coupling Coefficient), k2 의 정의를 이용하면 물질 보간 함수의 벌칙 지수 간에 만족시켜야 하는 조건을 유도할 수 있다. 이는 최적화 목적 함수의 형태와 관계없이 압전 물질을 사용한 구조물의 위상 최적 설계 시 항상 만족시켜야 하는 조건으로써 압전 물질의 사용량이 증가할수록 전기-역학 에너지의 상호 변환이 증가해야 한다는 가정에서 다음과 같이 유도된다.
 😥 미리 보기는 여기까지!
내용을 이어서 보고 싶다면,
아래 정보를 입력해 주세요.
 
       
					 
						 
							 
							 
							 
					 
					 
							 
							 
							 
							 
							 
							 
							 
							 
							 
							 
							 
							 
          
         
     
   
    